La norma E050 del Reglamento Nacional de Edificaciones en Perú, en su articulo 20 sobre capacidad de carga te brinda formulas con las que puedes determinar el valor de la capacidad de carga de un suelo, clasificando a este en suelos friccionantes (gravas, arenas y gravo arenosas) y suelos cohesivos (Arcillas, arcillas limosas y limo arcillosas)

En esta oportunidad para la determinación de la capacidad de carga nos vamos a centrar en los llamados suelos friccionantes, es decir aquellos con presencia de gravas y arenas:

Para ello, la norma E050 nos facilita una serie de formulas basadas en las ecuaciones de capacidad de carga de Terzaghy, para caso de suelos friccionantes esta misma norma indica que se debe considerar un coeficiente de cohesion igual a cero, con lo que la formula quedara reducida a la siguiente expresion:

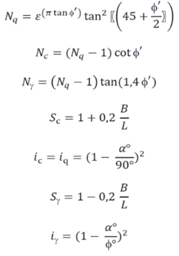
Para calcular los diferentes coeficientes y expresiones que conforman esta formula, tambien nos da otra serie de relaciones detalladas en la siguiente imagen:

Los cuales tienen la siguiente leyenda:

Al ser una formula simple en cada una de las expresiones que lo componen, se puede pasar todo este calculo a una hoja en excel, y eso es lo que hicimos, la misma que te la comparto en el siguiente link:
https://drive.google.com/file/d/1pmK8cLOg-S6OoNEIz2_VI3joaHGAO4mr/view?usp=sharing

Como se puede apreciar, la capacidad portante de un suelo esta en funcion de la profundidad de la cimentacion (Df): A mayor profundidad se obtienen mayores resistencias.
Tambien influye la relacion Ancho / Largo de la zapata, los resultados son mejores cuando se tienen formas rectangulares alejandose de la forma cuadrada.
Finalmente, el angulo de friccion es incidente, mayores angulos de friccion dan como resultado una mayor capacidad portante del suelo.
Espero que esta informacion te sirva y nos vemos en una siguiente presentacion.
Aqui tambien te dejo el link del video relacionado con este tema.
Slds
